Warning: Undefined property: stdClass::$country_code in /home/rbcgrp/rbcgrp.com/www/wp-content/themes/theme-sp/inc/support.php on line 248 Прогноз оттока клиентов | Анализ оттока клиентов | RBC group Украина
Не допускайте, чтобы время ожидания на кассе стоило вам клиентов
Не допускайте, чтобы время ожидания на кассе стоило вам клиентов
Узнайте, как наше решение на базе технологий искусственного интеллекта может революционно улучшить клиентский опыт и оптимизировать расходы на кассиров
Проблематика бизнеса:
Увеличение оттока клиентов
74%
покупателей пойдут в магазин конкурента, если увидят более быстрое время в очереди
Ухудшение клиентского опыта
83%
считают быстро движущиеся очереди неотъемлемой частью клиентского опыта.
Увеличение времени ожидания на кассе на 1 минуту приводит к снижению удовлетворенности клиентов на 5%
Отказ от покупки
59%
клиентов сказали, что будут ждать не более 4 минут
Увеличение оттока клиентов
74%
покупателей пойдут в магазин конкурента, если увидят более быстрое время в очереди
Ухудшение клиентского опыта
83%
считают быстро движущиеся очереди неотъемлемой частью клиентского опыта.
Увеличение времени ожидания на кассе на 1 минуту приводит к снижению удовлетворенности клиентов на 5%
Отказ от покупки
59%
клиентов сказали, что будут ждать не более 4 минут
Причины возникновения очередей
Ошибки в прогнозе количества покупателей Солнечные выходные весной приводят к увеличению количества покупателей в пятницу Школьные каникулы перераспределяют потоки покупателей между торговыми точками Локальное мероприятие недалеко от супермаркета или промо-акция меняют характер траффика покупателей
Ошибки в расчете потребностей в кассирах Новопринятые кассиры показывают значительно меньшую продуктивность в первое время Среднее количество товаров в чеке, а значит и время обслуживания покупателя изменяется и влияет на потребность
Неоптимальный план смен и перерывов Сложность ручного создания оптимального плана при большом количестве вариантов смен и правил планирования Перепланирование не проводится или проводится редко в случае изменения прогноза количества клиентов Несоблюдение плана на оперативном уровне
Кому это нужно и зачем?
EffiQueue позволит поднять подготовку к приему покупателей на новый уровень за счет ответов на вопросы:
В какое время в супермаркете бывает меньше всего покупателей?
Как будет меняться трафик в течение дня?
В чем отличие трафика во вторник от трафика пятницы?
Как осенняя ярмарка по соседству изменит количество покупателей в супермаркете?
Как изменится характер потока покупателей во время объявления школьных каникул?
Как вырастет среднее количество покупателей в день через 6 или 12 месяцев?
EffiQueue позволит проводить анализ факторов влияния на время обслуживания клиента и получить ответы на вопросы:
Кто из кассиров работает быстрее всех, а кто является «слабым звеном»?
Как быстро новые кассиры достигают целевой продуктивности?
На каких кассах происходит самое медленное обслуживание?
Чем один супермаркет отличается от других в отношении времени обслуживания?
Как супермаркеты объединяются в группы по характеру обслуживания?
EffiQueue позволяет анализировать различные варианты планирования смен кассиров и получить ответы на вопросы:
Какие промежутки времени будут критичными с точки зрения очередей?
Какие варианты смен кассиров наилучшим образом покрывают потребности в открытых кассах?
Кем лучше заменить отсутствующего кассира?
Как изменить расписание перерывов из-за отсутствия одного или нескольких кассиров на смене?
Как изменится загрузка кассиров и ФОТ из-за введения различных правил и ограничений при планировании смен?
EffiQueue позволит поднять подготовку к приему покупателей на новый уровень за счет ответов на вопросы:
В какое время в супермаркете бывает меньше всего покупателей?
Как будет меняться трафик в течение дня?
В чем отличие трафика во вторник от трафика пятницы?
Как осенняя ярмарка по соседству изменит количество покупателей в супермаркете?
Как изменится характер потока покупателей во время объявления школьных каникул?
Как вырастет среднее количество покупателей в день через 6 или 12 месяцев?
EffiQueue позволит проводить анализ факторов влияния на время обслуживания клиента и получить ответы на вопросы:
Кто из кассиров работает быстрее всех, а кто является «слабым звеном»?
Как быстро новые кассиры достигают целевой продуктивности?
На каких кассах происходит самое медленное обслуживание?
Чем один супермаркет отличается от других в отношении времени обслуживания?
Как супермаркеты объединяются в группы по характеру обслуживания?
EffiQueue позволяет анализировать различные варианты планирования смен кассиров и получить ответы на вопросы:
Какие промежутки времени будут критичными с точки зрения очередей?
Какие варианты смен кассиров наилучшим образом покрывают потребности в открытых кассах?
Кем лучше заменить отсутствующего кассира?
Как изменить расписание перерывов из-за отсутствия одного или нескольких кассиров на смене?
Как изменится загрузка кассиров и ФОТ из-за введения различных правил и ограничений при планировании смен?
Функциональные возможности решения
EffiQueue прогнозирует количество покупателей с точностью более 80% EffiQueue использует для прогнозирования количества покупателей следующие параметры:
дни недели
время суток
календарь праздничных и предпраздничных дней
изменения погодных условий
календарь школьных каникул
календарь сезона отпусков
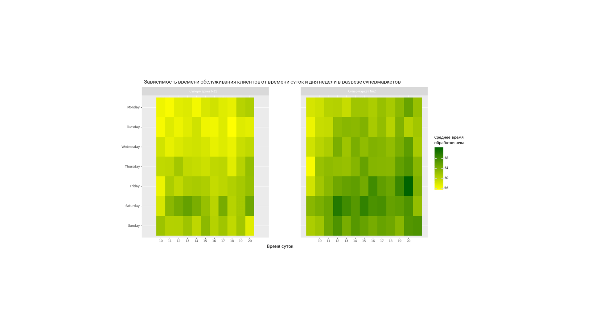
EffiQueue предоставляет анализ времени обслуживания одного клиента в следующих разрезах:
супермаркет
типы касс
конкретные кассы
конкретные кассиры
месяцы
дни недели
Для формирования плана смен пользователи могут задавать различные правила и ограничения, например:
Минимальная смена - 4 часа, максимальная - 12 часов
При смене менее 6,5 часов продолжительность обеда составляет 0,5 часа, при смене больше 6,5 часов - 1 час
Должно быть не больше 5 смен подряд
Выходные могут быть не подряд, но 1 раз в месяц – подряд
1 раз в 2 месяца выходные должны попадать на субботу и воскресенье
Норма часов не более 180 часов в календарный месяц
EffiQueue прогнозирует количество покупателей с точностью более 80% EffiQueue использует для прогнозирования количества покупателей следующие параметры:
дни недели
время суток
календарь праздничных и предпраздничных дней
изменения погодных условий
календарь школьных каникул
календарь сезона отпусков
данные о проведении мероприятий в окрестностях каждого супермаркета
данные о проведении промо-активностей в окрестностях каждого супермаркета
EffiQueue предоставляет анализ времени обслуживания одного клиента в следующих разрезах:
супермаркет
типы касс
конкретные кассы
конкретные кассиры
месяцы
дни недели
время суток
календарь праздничных и предпраздничных дней
Для формирования плана смен пользователи могут задавать различные правила и ограничения, например:
Минимальная смена - 4 часа, максимальная - 12 часов
При смене менее 6,5 часов продолжительность обеда составляет 0,5 часа, при смене больше 6,5 часов - 1 час
Должно быть не больше 5 смен подряд
Выходные могут быть не подряд, но 1 раз в месяц – подряд
1 раз в 2 месяца выходные должны попадать на субботу и воскресенье
Норма часов не более 180 часов в календарный месяц
EffiQueue- это:
Безопасность и простота
Решение разворачивается внутри периметра безопасности
Не используются персональные данные клиентов и кассиров
Решение поддерживает корпоративные способы интеграции
Не требует знаний математики и привлечения аналитиков
Автоматическая обработка данных
Вы устанавливаете только целевое значение уровня обслуживания в секундах или допустимом количестве человек в очереди
Все данные автоматически загружаются и обрабатываются
Выполняется автоматическая проверка полноты и качества данных
Точное и быстрое прогнозирование
Прогноз на 5 недель строится меньше одной минуты
Планирование смен на неделю выполняется меньше чем за 5 минут
Точность прогнозирования количества чеков на каждые 15 минут на 5 недель вперед больше 80%
Безопасность и простота
Решение разворачивается внутри периметра безопасности
Не используются персональные данные клиентов и кассиров
Решение поддерживает корпоративные способы интеграции
Не требует знаний математики и привлечения аналитиков
Автоматическая обработка данных
Вы устанавливаете только целевое значение уровня обслуживания в секундах или допустимом количестве человек в очереди
Все данные автоматически загружаются и обрабатываются
Выполняется автоматическая проверка полноты и качества данных
Точное и быстрое прогнозирование
Прогноз на 5 недель строится меньше одной минуты
Планирование смен на неделю выполняется меньше чем за 5 минут
Точность прогнозирования количества чеков на каждые 15 минут на 5 недель вперед больше 80%
Давайте обсудим вашу задачу
Давайте обсудим вашу задачу
Давайте обсудим вашу задачу
Запросить материалы вебинара
Получить демо доступ
Регистрация
Заявка успешно отправлена
Спасибо, что оставили заявку на нашем сайте. В ближайшее время наш менеджер свяжется с вами!